Vue fiche unique

✨ 100% GRATUIT & CORRIGÉ

L'Ultime Banque de Contrôles Corrigés 2026

Accède aux sujets officiels et corrections détaillées. Ton 20/20 commence ici. 🚀

Petit contrôle intégrales assez complet

⏱️ Durée : 1 h • 4 exercices pour consolider les bases du calcul intégral et de ses applications.

  • 📐 Exercice 1 : Intégrales de fonctions classiques (polynômes, exponentielle, rationnelles), interprétation graphique en termes d’aires et valeurs moyennes.
  • 🧾 Exercice 2 : Vérification de primitives, conditions initiales et calcul d’intégrales définies.
  • ✍️ Exercice 3 : Intégrales exactes : racines, logarithmes et simplifications astucieuses.
  • 🔄 Exercice 4 : Mise en pratique de la méthode de l’intégration par parties avec un calcul complet.

🎯 Objectif : maîtriser les techniques de base, comprendre les liens avec les aires et acquérir des réflexes solides pour les intégrales.

Un entraînement indispensable avant les applications en probabilités et en physique ⚡

📝 Sujet

Chargement du sujet...

✅ Correction

🫣

Correction Masquée

Avez-vous bien cherché l'exercice ?

Sujets similaires recommandés 🎯

Terminale spécialitéRecommandé

Contrôle Calcul Intégral - Sujet 2

Thumbnail

Chapitres: Intégrales

Terminale spécialitéRecommandé

Contrôle Calcul Intégral - sujet 3

Thumbnail

Chapitres: Intégrales

Contrôle de Mathématiques sur le Calcul Intégral - Terminale Spécialité

Ce sujet d'évaluation pour les élèves de Terminale en spécialité mathématiques est un excellent moyen de s'entraîner sur le chapitre du calcul intégral. Il aborde les notions fondamentales telles que la recherche de primitives, le calcul d'intégrales définies, l'interprétation de l'intégrale en termes d'aire, le calcul de la valeur moyenne d'une fonction et la technique de l'intégration par parties. Ce contrôle corrigé est parfait pour vos révisions du baccalauréat.

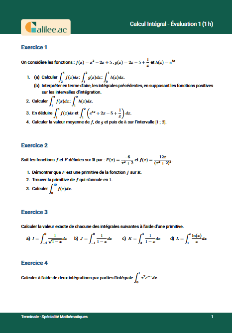
Exercice 1 : Calculs d'intégrales et applications

Cet exercice de base vérifie la maîtrise du calcul d'intégrales de fonctions usuelles et la compréhension de leurs applications directes.

  • Question 1a : Calcul de trois intégrales définies. Il s'agit de trouver les primitives de fonctions de référence : un polynôme \( f(x) = x^2 - 2x + 5 \), une fonction incluant une puissance et une fonction inverse \( g(x) = 2x - 5 + \frac{1}{x} \), et une fonction exponentielle \( h(x) = e^{4x} \).
  • Question 1b : Interprétation géométrique de l'intégrale. On demande de traduire la valeur de l'intégrale en termes d'aire sous la courbe, en unité d'aire, pour une fonction positive sur l'intervalle d'intégration.
  • Question 3 : Utilisation des propriétés de l'intégrale. Cette question évalue la capacité à utiliser la relation de Chasles pour déduire \( \int_1^4 f(x)dx \) et la linéarité de l'intégration pour calculer \( \int_1^2 (e^{4x} + 2x - 5 + \frac{1}{x}) dx \).
  • Question 4 : Calcul de la valeur moyenne d'une fonction sur un intervalle \( [a, b] \), en appliquant la formule \( \mu = \frac{1}{b-a} \int_a^b f(x)dx \).

Exercice 2 : Primitives d'une fonction

Cet exercice se concentre sur la notion de primitive et la détermination d'une primitive unique vérifiant une condition initiale.

  • Question 1 : Démontrer qu'une fonction \( F \) est une primitive d'une fonction \( f \). Il faut ici dériver \( F(x) = \frac{-6}{x^2 + 2} \) et vérifier que l'on obtient bien \( f(x) = \frac{12x}{(x^2 + 2)^2} \).
  • Question 2 : Trouver la primitive unique s'annulant en un point. Toutes les primitives de \( f \) sont de la forme \( F(x) + C \). On utilise la condition donnée pour déterminer la valeur de la constante \( C \).
  • Question 3 : Calculer une intégrale définie \( \int_0^{10} f(x)dx \) en utilisant la primitive trouvée précédemment.

Exercice 3 : Calcul d'intégrales à l'aide de primitives

Cet exercice est une application directe du calcul de primitives pour des formes de fonctions plus complexes, nécessitant de reconnaître des schémas de dérivation.

  • Intégrale I : Reconnaître une primitive de la forme \( \frac{u'(x)}{\sqrt{u(x)}} \) pour calculer \( \int_{-4}^{0} \frac{1}{\sqrt{1-x}}dx \).
  • Intégrales J et K : Reconnaître une primitive de la forme \( \frac{u'(x)}{u(x)} \) pour calculer \( \int_{-1}^{0} \frac{1}{1-x}dx \) et \( \int_{2}^{3} \frac{1}{1-x}dx \).
  • Intégrale L : Reconnaître une primitive de la forme \( u'(x)u(x) \) pour calculer \( \int_{1}^{e} \frac{\ln(x)}{x}dx \).

Exercice 4 : Intégration par parties (IPP)

Cet exercice aborde une technique de calcul plus avancée, l'intégration par parties, essentielle en Terminale.

  • L'objectif est de calculer l'intégrale \( \int_0^1 x^2 e^{-x} dx \).
  • Cette intégrale nécessite l'application de deux intégrations par parties successives pour abaisser le degré du polynôme \( x^2 \) jusqu'à une constante. C'est un grand classique du chapitre.